PG TRB Result 2025 Out for Part A and B PDF

PG TRB Result 2025 Out for Part A and B in PDF download free from the direct link below.

PG TRB Result 2025 Out for Part A and B - Summary

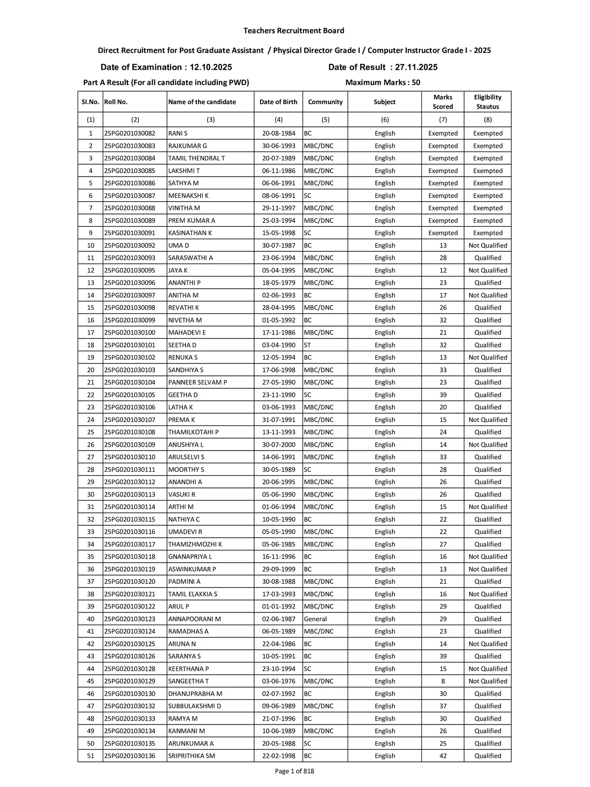
PG TRB Result 2025 announced by the Tamil Nadu Teachers Recruitment Board (TRB) for OMR-based examination (Advt. No. 02/2025) held for the recruitment of Post Graduate Assistant / Physical Director Grade-I – 2025.

The result has been released in PDF format, including the candidate’s name, roll number, date of birth, marks scored, and eligibility status. Candidates whose score a minimum of 40% marks (i.e., 20 out of 50) in Part A, their Part B was evaluated.

TN TRB Result 2025 Merit List PDF

TamilTamil
EnglishEnglish
MathematicsMathematics
PhysicsPhysics
ChemistryChemistry
BotanyBotany
ZoologyZoology
CommerceCommerce
EconomicsEconomics
HistoryHistory
GeographyGeography
Political SciencePolitical Science
Computer ScienceComputer Science
Physical EducationPhysical Education

 How to Download the TN PG TRB Result 2025

Candidates can follow these simple steps to download the TN TRB Result 2025 PDF for Part A (Tamil Eligibility Test) and Part B (Main Subject).

  • To check the TN TRB Result 2025, visit the official website of the Tamil Nadu Teachers Recruitment Board (TRB) at www.trb.tn.gov.in
  • On the homepage, click on the “Result” tab on the left side.
  • You will be redirected to a new page, look for the link that says “Direct Recruitment for PG Assistant / Physical Director Grade – I / Computer Instructor Grade – I (02/2025) – Release of Part A and B Result”.
  • Click on this link to open the result PDF.
  • When the result is open, press CTRL+F and search for your name or roll number to check your qualifying status.
  • If you have qualified in both Part A and Part B, download and save the PDF for future reference.

PG TRB Result 2025 Out for Part A and B PDF Download

RELATED PDF FILES