Go Back
PREVIEW OF
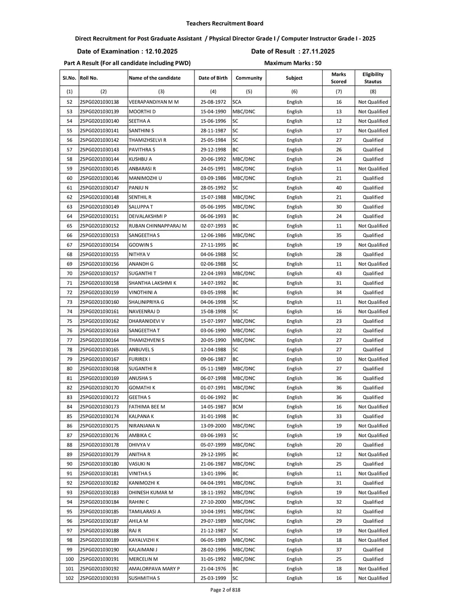
PG TRB Result 2025 Out for Part A and B
PAGE - 1
PAGE - 2
PAGE - 3
PAGE - 4
PAGE - 5
813 MORE PAGE(S)
DOWNLOAD COMPLETE PDF TO VIEW ALL PAGES
Disclaimer / Notice:
Preview images shown are just for reference and are the property of their respective owners.
❯❯
Free Download
❮ GO BACK TO:
PG TRB Result 2025 Out for Part A and B
Copy URL