Nagaland Scholarship 2026 Beneficiary List - Summary
The Department of Higher Education Nagaland has released the Nagaland Scholarship Beneficiary List PDF from the official website https://highereducation.nagaland.gov.in or it can be directly downloaded from the link given at the bottom of this page. Nagaland’s Higher & Technical Education Minister Temjen informed that there are 39, 684 beneficiaries of scholarship with 38, 201 within Nagaland and 1484 outside Nagaland.
Nagaland Scholarship 2026 has been launched by the Directorate of Higher Education of the Nagaland for the students of the SC/ST/Minority community. Students will get financial help from the state government to pursue their further studies able to grab the scholarship. Applicants who are interested in grabbing the opportunity have to apply for the Nagaland Scholarship via online mode.
Eligibility For Nagaland Scholarship 2026
In order to apply for this scholarship scheme, students have to fulfill the below-given eligibility conditions:
- Applicants who are native of Nagaland state and belong to the ST category can only apply for this scholarship.
- For class 11th/12th – The minimum qualifying percentage required in the last examination i.e. 10th/11th must be 80% or equivalent grade.
- For Degree/PG level courses – The minimum qualifying percentage required in the last examination i.e. HSSLC/degree exam must be 70%.
State Merit Scholarship Reward
There is no fixed scholarship amount. Each candidate who will be selected and meet all the requirements will receive a variable scholarship amount based on their needs and academic performance.
How to check the Nagaland Scholarship Beneficiary List 2026
The complete process to check Nagaland Scholarship Beneficiary List is given below step by step.
Step 1: Visit Nagaland Scholarship official portal https://www.scholarship.nagaland.gov.in.
Step 2: On the home page, click on “Beneficiaries”.

Step 3: Direct link http://www.scholarship.nagaland.gov.in
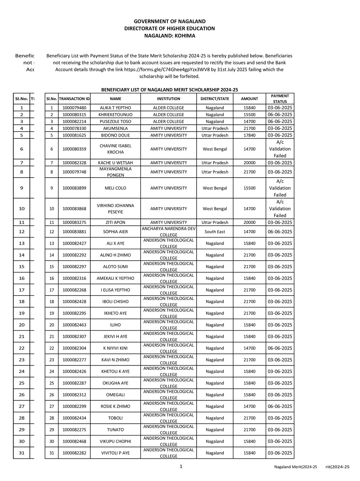
Step 4: The beneficiary List will open as shown below. Search your name in the Nagaland Scholarship Beneficiary List.
How To Apply For State Merit Scholarship
Aspirants can follow the below-given steps to apply for the scholarship
- Visit the official portal of the Nagaland Government.
- Application forms are invited via online mode only.
- To apply online, click on the Link
- Register yourself as a “new user”.
- Fill in all the required details including login account details, residential address, and security questions.
- Already registered users can directly log in with their registered user ID and password.
- Now, go to online services.
- Select the “Nagaland State Merit Scholarship 2019-20” from the Directorate of Higher Education menu.
- Thereafter, fill all the remaining details in the form and submit it.
- Take a printout of your filled form and submit it to your institution. The institution will prepare Annexure-IV for submission to the DHE.
Documents Required for Scholarship
Applicants need to submit the following documents along with the hardcopy of the filled application form
- Xerox attested copies of the ST certificate and indigenous certificate.
- Xerox attested copies of mark sheet, and admit card from class 10th onwards.
- Xerox attested a copy of the admission receipt.
- Xerox attested copy of school/college/University registration/affiliation certificate
Nagaland Scholarship Scheme – Highlights
| Scheme Name | Nagaland Scholarship Scheme |
| Launched By | Government of Nagaland |
| Launched under | Central Government |
| Objective | To provide economical support to the students suffering from the financial instability |
| Benefit | Scholarships will be provided to the meritorious students |
| Allocated Portal | Common Scholarship Portal (CSP) |
| Delegated Department | Department of Backward Class Welfare Department of Social Welfare |
| Scholarships offered | Post-Matric Scholarship (ST) Nagaland State Merit Scholarship Nagaland State Research Scholarship NEC-Merit Scholarship (Renewal) |
| No. of Scholarships | 4 |
| Applicable To | Citizens of Nagaland |
| Beneficiaries | Students |
| Student Category | SC (Scheduled Caste) ST (Scheduled Tribe) OBC (Other Backward Class) EWS (Economically Weaker Section) BC (Backward Class) |
| Mode Of Transfer | DBT (Direct Benefit Transfer) |
| Payment Mechanism | e-payment mechanism |
| Form of Benefit | Scholarship amount |
| Amount of benefit | May be varying from one scholarship scheme to another |
| Scheme Type | State Government Scheme |
| Hosting Site | National Information Center (NIC) |
| Mode Of Application | Online |
| Office Address | Directorate of Higher Education Below Nagaland Civil Secretariat, Thizama Road Kohima |
| Helpline Number | 8929307387 7005405552 |
| Email Id | [email protected] |
| Official Website | http://www.scholarship.nagaland.gov.in |
You can download the Nagaland Scholarship 2023 Beneficiary List PDF using the link given below.